This may be too
technical for non-economists, yet familiar to macroeconomists, but students should find it useful. Its part of a continuing series on NGDP targets
‘c’
is a parameter. The cost function is quadratic to capture the idea that a 1% increase in inflation or the output gap is more costly if inflation or the output gap is already high than if it is low. Let’s abstract from uncertainty, and assume policy can perfectly
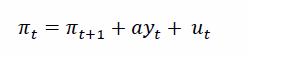
control the output gap (there is no zero lower bound problem), and the only constraint is a forward looking Phillips
curve
where ‘u’ is what is often called a
cost-push shock, so it could be an increase in sales taxes for example. (Really it
stands for all the things that might influence inflation besides expected
inflation and the output gap, which is probably quite a lot.) The parameter ‘a’
measures how sensitive inflation is to the output gap.
Cost push shocks are in some ways the
most difficult things for monetary policy to deal with, if we are ignoring uncertainty.
Demand shocks that create negative or positive output gaps can in principle be
eliminated entirely by an appropriate choice of interest rates. Supply shocks that change the
natural rate, if known, can also be dealt with at zero cost by just moving
demand to follow supply. A non-zero value of u will however result in some cost
whatever policy does.
Let’s look at the case where there is a
large positive cost push shock, just in the current period (t=0), and let’s
make it equal to 10. This means that if the monetary authorities chose a zero
output gap at t=0, then current inflation would be 10% higher. A crucial
assumption here is that future inflation, assuming no known future shocks and a
zero future output gap, is anchored at target, so excess inflation at t>0
will be zero. We can see in this case that by choosing a zero output gap at t=0
involves a loss of 100 at t=0, but no subsequent loss.
Now suppose all that monetary policy can
do is change the output gap in the current period. Perhaps promises to change
the output gap in future periods will not be believed. In that case the optimal
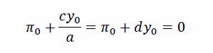
combination of output and inflation to go for is given by
This is a bit different from the expression involving excess inflation at t=0, because inflation at t=1 will have implications for inflation at t=0, and therefore the choice of output gap at t=0. The neat point is that if d=1 again, this also implies we keep nominal GDP (NGDP) at t=1 constant, because this equation says the growth in NGDP should be zero, and the previous expression made the level of NGDP constant. If a=c=d=1, then we can show that the optimal policy involves having a negative output gap of 4% at t=0 and 2% at t=1. This will produce 4% inflation at t=0 and -2% inflation at t=1, but despite this rather odd combination involving inflation that is too low at t=1, the overall cost is less: 16+16+4+4=40. [1]
A potential problem with this policy is that it is time inconsistent. When period t=1 arrives, it seems better to change the policy and keep the output gap at zero, which implies zero inflation. The total cost would then be only 32. But if that is what monetary policy is going to do, people would not expect future inflation of -2% when t=0, so we would not get the benefits of this expectation. Instead inflation at t=0 would be 6% and the output gap -4%, giving an overall cost of 52, which is worse than if policymakers had only tried to change the output gap at t=0. However if d=1, and policymakers had committed to keeping the level of NGDP constant, then NGDP at t=1 would be too high, so keeping the output gap at zero in t=1 would not be an option. Policy would be committed to following the optimal path, and policy commitments would be credible if NGDP targets were credible. This is the logic behind this post. [2]
This is why, I would suggest, Michael Woodford is comfortable with targets for the level of NGDP. (A good technical reference on optimal monetary policy is here, where the equation above is an example of his equation 1.21, while his views on NGDP targets can be found here, pages 44-46.) Note that I have not had to invoke anything about the zero lower bound (ZLB) – indeed I have ignored it – which is why I have pointed out before that the case for NGDP targets does not rely on ZLB considerations.
However is it reasonable to suppose d=1? Quite often macroeconomists assume c=1: a 1% output gap has the same cost as 1% extra inflation. However recent IMF work that I talked about here suggested that the Phillips curve might be very flat at low inflation. Combine the two and d could be much larger than one. This would imply that the optimal policy would be to let most of the shock feed through into inflation. [3] In this case a NGDP target would not be optimal. [4]
So this is either good or bad news for NGDP advocates, depending on your views of these two key parameters. [5] However there is a lot left out of this simple story, such as what happens if the Phillips curve is more backward looking, or if policymakers and the private sector make mistakes.
[1] Note that the price level at t=2 in
this case is just 2% higher than without the shock, compared to 5% higher when we
only changed current period output. This gives us a clue to what will happen if
we allow output even further ahead to change optimally – see the next footnote.
[2] If we allow policymakers to make
promises about the output gap in period t=2 and beyond, we can get the cost of
this shock down further still: what we get are more conditions like the last
equation, for each subsequent period.
The policymaker promises smaller and smaller negative output gaps, so
future excess inflation approaches zero from below. What happens then is
slightly magical: by summing all these conditions together, we find that all
these future negative inflation rates sum to exactly offset the initial rise in
inflation, so (if target inflation was zero) the price level eventually returns
to its pre-shock level. More generally the optimal policy involves gradually
returning the price level back to its original path. In this sense, long run price
level targeting is optimal whatever
the value of d.
[3] If c=1 but a=0.5 (and estimated 'a' is normally a lot smaller than this - Charlie Bean in the small model simulated here uses a=0.025), then in the first
example the output gap should be -4%, and inflation would be 8%. Although that
produces a total cost of 80, that is the best we can do. If the output gap was
-5%, inflation would be 7.5%, giving a total cost of over 81.
[4] Keeping NGDP constant would reduce
output by 6 and two thirds per cent. Although, compared to the optimal policy, inflation
would be a bit more than 1% lower, output would be nearly 3% lower, and the total
cost would be nearly 89.
[5] As I have already begun to read the
mind of Michael Woodford, let me continue with my audacity. Michael Woodford first
showed us how you can derive the first equation from a standard utility
function in a model with Calvo contracts. If you do that, the ‘c’ parameter (which is actually is a function of 'a' along with other parameters) can
be a lot less than one, so the chances of ‘d’ being close to one despite small 'a' are greater. The
problem I have with this logic is that I do not believe the simple models used
to derive these cost functions accurately capture the true costs of output gaps, in part because they typically exclude involuntary unemployment.




Hi Simon,
ReplyDeleteIs it not the case that NGDP targeting dominates inflation targeting in the case of the low inflation Akerlof-Dickens-Perry type convex Phillips Curve, with this model? And continues to be superior to inflation targeting until a > c? In this case there is a low range of inflation for which NGDP targeting is superior to inflation targeting, if my maths is correct. Does this then imply that NGDP targeting is likely to be superior to inflation targeting in a low inflation environment?
But is strict inflation targeting the right comparison? Most central bankers argue they are doing flexible inflation targeting, which they might suggest allows them to attempt optimal policy. Of course you could argue, as I have, that in practice a single inflation target rather than a dual mandate limits their flexibility.
DeleteIf the policy makers knew what the optimum level of RGDP was they could target it and the output gap would always be close to 0.
ReplyDeleteThe problem is they don't know it. In normal times they can guess it based on previous years and just by keeping inflation low and publicizing what they are doing they can avoid any significant output gap. But in the face of a supply shocks it is unlikely they will have a model accurate enough to guess it correctly. Its here that targeting NGDP comes into its own. Using an NGDP target will allow the economy a good chance of finding the optimal RGDP level by allowing the market to seek out the right combination of changes to output and inflation needed.
I think this post is saying that in the face of cost-push inflation NGDP targeting may cause RGDP to fall by more than it optimally needs to. Most cost-push inflation is just a supply-shock in disguise and NGDPT will allow the economy to optimally make the resulting adjustment to lower RGDP. I can think of some examples (the govt increases sales tax and then does nothing with the revenue that would affect either NGDP or RGDP) where it would be safe to ignore NGDP and target the output gap but these cases seem like they would be vanishingly rare.
I think your point that it can be very difficult to distinguish between cost-push shocks and supply shocks is a good one. However, lots of shocks to the Phillips curve seem fairly short lived, whereas we tend to think about supply as having more inertia. Interesting.
DeleteAssuming that pure cost push inflation can exist then NGDPT would indeed be sub-optimal in dealing with it. The reason for this (in crude terms) is that it would not allow enough inflation to bring real wages to their equilibrium level. If this is considered a sufficient reason not to adopt NGDPT then before deciding that discretionary policy should be adopted I think wage level targeting needs to be considered. If the money supply is increased sufficiently to prevent any downward pressure on wages then the optimal policy will be delivered in both supply-shock and cost push inflation scenarios. NGDP will rise above trend in the latter case.
DeleteMaybe...the optimal is the enemy of the good? We are far too ignorant to find the first best. And while we could imagine using some convex combination of P and Y as a target, in practice it needs to be simple. "money income" is more or less comprehensible to most people.
ReplyDeleteIs NGDP targeting better than inflation or price level targeting? Unless d is implausibly small, it will be (in this model).
One way to read this post is to ask why on earth Woodford would support NGDP targets. After all, his work is mostly about what is optimal. Now he could just be being pragmatic, but one of the points I wanted to get across is that if you believe history dependent policy is crucial (as he does), and if you believe central bankers are very reluctant or unable to enact that type of policy because it is time inconsistent (as central bankers almost certainly keep telling him), and if you think NGDP targets could allow them to be history dependent, then you might trade-off a bit of sub-optimality for this gain.
DeleteIf it wasn't for this time inconsistency point, then I think the message of this post is that if d>>1 then a flexible dual mandate (with an explicit medium term inflation target), that allowed cost-push shocks to be largely accommodated, is the right policy.
Simon: OK. I come at it a bit differently.
DeleteRemember that old Svensson(?) argument about price level targeting giving you a free lunch if central bankers couldn't commit to a time-inconsistent policy? I was always deeply suspicious of that argument. It's like saying: "Let's pretend we care about X(t), even though we really care about Z(t), because it's impossible to pretend we care about Z(t-1), because it's got a (t-1) in it."
Central banks used to really really care about the price of gold being equal to some magic number. Then their preferences suddenly changed.
I think of central banks as like judges. Good judges (ones that aren't corrupt) have almost infinitely malleable preferences. Change the law to make X legal and Z illegal, and all of a sudden judges' preferences change too. They now dislike punishing people who do X and like punishing people who do Z.
I can't see why judges, or anyone, would ever want to punish anyone, anyhow. "After all, the murder has already been committed, and we can't bring the victim back from the dead by punishing the person who killed him. It just makes it worse for the defendant, plus the cost to the rest of us who pay for the prisons. No use crying over spilled milk. Bygones are forever bygones."
Something like Rule Utilitarianism would seem to work as well for central banks as for judges. "We do this act because it's the rule, and the rule is good because it creates good expectations."
Everything that differentiates us from the Hobbesian State of Nature, and that we call "society", is simply us following time-inconsistent plans. If time-inconsistency for central banks were an insurmountable problem, central banks (not to mention property rights, contracts, and money) wouldn't even exist.
DeleteI’m sure there is sample selection bias here, but most of the central bankers I meet are like academics. However there is one important difference. Too many academics seem to believe they have earned a lifelong right to do research, and resent society inquiring about how good or useful it is. (Bloggers are almost by definition not among this group.) Most central bankers appreciate that they have been trusted to perform a really important task despite being unelected, and that they therefore need to keep the public onside as much as they can.
DeleteIt is for this reason that I think the single inflation target, at least in the UK, distorts what they might otherwise do as academics. Judges do not have to sit in front of politicians and justify their decisions, but members of the MPC quite rightly do.
The fact that you need to punish people who commit crimes to change their and others future behaviour is well understood. The fact that, after a supply shock that has come and gone, you need to keep output depressed and inflation below target for some time is not. Until it is, embodying that counter-intuitive behaviour in a rule could be really helpful.
I have occasionally appeared before the politicians of the Treasury Select Committee, and they have nearly always been polite. But I have also seen how they can tear witnesses apart, in an unthinking and vote pleasing way. If I was on the MPC, during a period where we were deliberately holding both output and inflation below target after a positive supply shock, I can imagine occasions where no amount of discussion involving expectations and time inconsistency would assuage their anger. Being able to say we are following a rule that had been widely discussed and over which there was a large amount of agreement might. In the absence of such a rule, I would not bet against myself succumbing to time inconsistent behaviour to avoid their and the public's wrath.
Simon: thanks for the response.
Delete"Being able to say we are following a rule that had been widely discussed and over which there was a large amount of agreement might."
Agreed. I see "following a rule" and "overcoming time-inconsistency" as the same thing.
"Maybe...the optimal is the enemy of the good? We are far too ignorant to find the first best."
DeleteCouldn't agree more. We can't observe the output gap, and putting inflation in the social welfare function begs the question (which you have raised previously) of which kind of inflation is more important - arguably keeping nominal wages or total incomes on a predicable path is more important than consumer prices, even aside from the effect on the output gap. If I am taking out a mortgage I care more what my nominal earnings will be in 10 years than what the CPI will be.
Not a big fan of using the outputgap in cases like the present. Problem is in most examples simply the historical trend is used.
ReplyDeleteThis has 2 huge problems in the present situation:
1. A lot of the growth in a considerable period before the crisis hit in was imho caused by 'overborrowing'. Either by the private (consumer) or government sector (often ending up as 'excess consumption').
As a lot of that was as said used for consumption it worked very similar as a stimulus.
There probably was some room but not in any way as much room as was taken. Which means that the process has to be corrected in some way (deleveraging), at least for the largest part. With a negative influence on the output growth for now and structurally lower growth next to that.
2. Output for several reasons (size and length of the crisis, rise of foreign competition (productivity drop allthough the average skill level of workers looks to have been going up), aging etc) might have taken a structural drop.
These effects are very hard to estimate accurately. Which makes it difficult to use as a policy imstrument.
Alternative use unemployment as a proxy. Probably also difficult at the moment. There are a lot of indications that structural unemployment is substantially higher now than pre-crisis. Look at the basic material for it as well and see things like dropping laborforce, rise in part-time workers; huge rise in disability and it also is clear that that is very difficult to estimate as well.
-So it will be something like flying blind on inaccurate instruments.
Looks however like there is some rooom here seen mainly unemploymentlevel. They simply look higher than any estimate of structural unemployment. Plus the other factors point in one direction that official unemployment is probably 'optically' reduced.
With the added advantage that a bit more inflation speeds up the deleveraging, without probably doing too much harm to the rest. Bit like the BoE did. It took care that the bottom of the RRE bubble didnot fall out. Most of the overborrowing looks RRE related.
Which would have made any recovery an illusion. Unlike Holland where they allowed for political reasons that to happen (and now end up with the consequences, while current account and RRE prices did look better there than in the UK).
However opens also the question how long and/or how many times you can do that (in the same country)?
-You probably have to make a correction ico higher inflation especially the structurally kind and especially the one combined with low interst for the extra saving people will be doing because they see their pensions at jeopardy or are uncertain in other ways. Especially the pensions are a huge problem. Probably a lot of them are under water and need corrections for that in order not to end up with a huge gap at pensionage. Next to the problems that are still in it because of the combination 'pay as you go' and changing demographics. Which are often still simply ignored.
This is an effect underestimated imho. Mainly imho because it is nearly completely ignored. Also in Holland that is really showing as a negative as there the discussion has started. While their pensionfunds and pensionsystem looks much healthier than those in other countries as a lot is funded and with reasonable interest estimates (not the 8% you sometimes see in the US). UK might see a similar discussion it are basically EU rules. If so these are huge amounts that have to come from somewhere.
A lot to ponder here. I think this is a great post.
ReplyDeleteSimon,
ReplyDeleteHow do you think that NGDP targeting would respond to changes (or shocks) in the underlying growth rate of the economy? It seems that if that changes, it would suggest that the NGDP target (e.g. a trend of x% over time) should change in order to be able to realise the 'appropriate' underlying growth rate of the economy. However, it seems that knowing this underlying growth rate is (a) complicated and (b) would result in fairly frequent revisions of the NGDP target in a way that, say, inflation targeting does not require.
i really enjoyed this article,because this was me many years ago,and to a certain degree,this is who i am today
ReplyDeleteContent Writing Services
This comment has been removed by the author.
ReplyDeleteHere you will get a proper guide regarding the question that how to write an essay impressively. || How To Write an Essay ||
ReplyDeleteStop hiring writers to write your blog post and articles because now you may generate your articles by yourself without having any experience in writing. visit my link to have the answer of why and how. || Free Article Spinner ||
ReplyDeleteThere is something to tell you that nice content have variety of attracting more users as compared to others. You would also be glad to know that there are too many research papers written for you online for free, you can go and just click to download your desired topic. It will help you to enhance your knowledge and built a strong relationship between you and your users. Do My Assignment | Assignment Writing Service
ReplyDelete